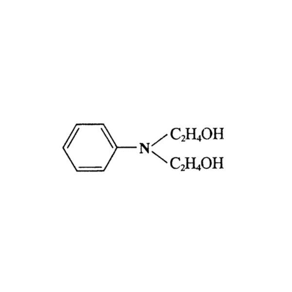
N,N-Dihydroxyethylaniline

N,N-Dihydroxyethylaniline

SKU: nn-dihydroxyethylaniline Category:

Additional information

CAS

120-07-0

Assay

98.5%

Appearance

light yellow solid

Packing

25kgs Fibre Drum